Upgrade to Pro
— share decks privately, control downloads, hide ads and more …
Speaker Deck
Features
Speaker Deck
PRO
Sign in
Sign up for free
Search
Search
AkarengaLT vol.41
Search
Sponsored
·
Your Podcast. Everywhere. Effortlessly.
Share. Educate. Inspire. Entertain. You do you. We'll handle the rest.
→
hashimoto-kei
January 26, 2026
Science
130
1
Share
AkarengaLT vol.41
AkarengaLT vol.41 に登壇した際の資料です。
https://engineercafe.connpass.com/event/379434/
hashimoto-kei
January 26, 2026
More Decks by hashimoto-kei
See All by hashimoto-kei
AkarengaLT vol.43
hashimoto_kei
0
79
Offline Meetup | Fukuoka Rubyist Kaigi 05 Day0
hashimoto_kei
0
86
AkarengaLT vol.40
hashimoto_kei
0
92
HajimetenoLT vol.17
hashimoto_kei
1
220
AkarengaLT vol.38
hashimoto_kei
1
260
AkarengaLT vol.37
hashimoto_kei
0
120
AkarengaLT vol.36
hashimoto_kei
0
110
AkarengaLT vol.35
hashimoto_kei
0
210
Boast Code Party | RubyKaigi 2025 After Event
hashimoto_kei
2
380
Other Decks in Science
See All in Science
People who frequently use ChatGPT for writing tasks are accurate and robust detectors of AI-generated text
rudorudo11
0
220
「遂行理論の未来」(松島斉教授最終講義記念セッションの発表資料)
shunyanoda
0
860
白金鉱業Vol.21【初学者向け発表枠】身近な例から学ぶ数理最適化の基礎 / Learning the Basics of Mathematical Optimization Through Everyday Examples
brainpadpr
1
710
プロジェクト「Azayaka」のSARの数式とジオメトリ
syuchimu
0
250
Non-Gaussian, nonlinear causal discovery with hidden variables and application
sshimizu2006
0
110
DMMにおけるABテスト検証設計の工夫
xc6da
1
1.7k
データベース02: データベースの概念
trycycle
PRO
2
1.1k
検索と推論タスクに関する論文の紹介
ynakano
1
190
フィードフォワードニューラルネットワークを用いた記号入出力制御系に対する制御器設計 / Controller Design for Augmented Systems with Symbolic Inputs and Outputs Using Feedforward Neural Network
konakalab
0
120
コミュニティサイエンスの実践@日本認知科学会2025
hayataka88
0
150
なぜエネルギーは保存する? 〜自由落下でわかる“対称性”とネーターの定理〜
syotasasaki593876
0
120
AIPシンポジウム 2025年度 成果報告会 「因果推論チーム」
sshimizu2006
3
480
Featured
See All Featured
<Decoding/> the Language of Devs - We Love SEO 2024
nikkihalliwell
1
200
How To Stay Up To Date on Web Technology
chriscoyier
790
250k
Helping Users Find Their Own Way: Creating Modern Search Experiences
danielanewman
31
3.2k
How Fast Is Fast Enough? [PerfNow 2025]
tammyeverts
3
550
The State of eCommerce SEO: How to Win in Today's Products SERPs - #SEOweek
aleyda
2
10k
RailsConf & Balkan Ruby 2019: The Past, Present, and Future of Rails at GitHub
eileencodes
141
35k
Groundhog Day: Seeking Process in Gaming for Health
codingconduct
0
160
Rails Girls Zürich Keynote
gr2m
96
14k
Claude Code どこまでも/ Claude Code Everywhere
nwiizo
65
55k
Impact Scores and Hybrid Strategies: The future of link building
tamaranovitovic
0
270
Statistics for Hackers
jakevdp
799
230k
Practical Orchestrator
shlominoach
191
11k
Transcript
2026/1/25 hashimoto-kei AkarengaLT Vol. 41
ࣗݾհ
໊લɿhashimoto-kei
None
ग़ɿԬ
ॴଐɿελʔτΞοϓ @Ԭ
ݞॻɿݚڀһ
ࣄɿΤϯδχΞ
ٕज़ελοΫɿPython, AWS
झຯɿαφ, Podcast
͖ͳຊɿNand2Tetris
https://www.oreilly.co.jp/books/9784814400874/
ࠓͷςʔϚ
લճͷଓ͖
ֶͷΈ
https://www.chikum a shobo.co.jp/product/9784480095589/
ָ͠Έํ
ϓϩάϥϛϯά
ڝϓϩ ⏱
ݴޠॲཧܥ ⚙
ֶ
डݧֶ ⏱
ֶͷΈ ⚙
ڝϓϩ ⏱ ݴޠॲཧܥ ⚙
डݧֶ ⏱ ֶͷΈ ⚙
डݧֶ ⏱ ެཧओٛ ⚙
डݧֶ ⏱ ެཧओٛ ⚙ 👉
༡ΜͰΈΔ
🥳
͔͜͜Β෮श
ࢹ֮Խ
ճసߦྻ
None
ؙ҉ه...?
ਤͰे 1
(1, 0) ͱ (0, 1) Λ θ ͚ͩճస 1
1 1
ࡾ֯ؔͷఆ͔ٛΒ ͕࣍Γཱͭ 1
None
·ͱΊͯॻ͘ͱ
None
Α͘ݟΔͱ୯Ґߦྻʹͳ͍ͬͯΔ
🎉
ࢹ֮Խ
ࡾ֯ؔͷՃ๏ఆཧ
None
ؙ҉ه...?
ਤͰे
1 1
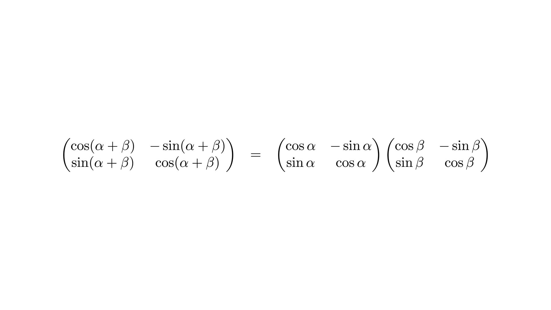
ճసߦྻʹ͍ͭͯ ࣍ͷ͕ࣜΓཱͭ
None
β ͚ͩճసͤͯ͞ɺ͞Βʹ α ͚ͩճస Ұؾʹ α + β ͚ͩճస
࠶ܝ
None
͜ΕΛ͏ͱɺ ࣍ͷ͕ࣜΓཱͭ
None
͜͜Λܭࢉ͢Εɺsin(α + β) = sin α cos β + cos
α sin β ͕ಘΒΕΔ
͜͜Λܭࢉ͢Εɺcos(α + β) = cos α cos β - sin
α sin β ͕ಘΒΕΔ
🎉
͜͜·Ͱ෮श
🍵
ҰൠԽͷޮ༻
ࡾ֯ؔͷެࣜ܈
ͨ͘͞Μ͋Δ
None
None
None
None
ෳࡶʹݟ͑Δ
Ճ๏ఆཧͰҰൃ 1
None
β = 2πn Λೖ cos β = 1 sin β
= 0
None
β = π Λೖ cos β = -1 sin β
= 0
None
β = π/2 Λೖ cos β = 0 sin β
= 1
None
β = α Λೖ
🎉
ه๏ͷޮ༻
ࡾ֯ؔͷੵม
None
None
ෳࡶʹݟ͑Δ
Ճ๏ఆཧ͔Βಋ͚Δ
None
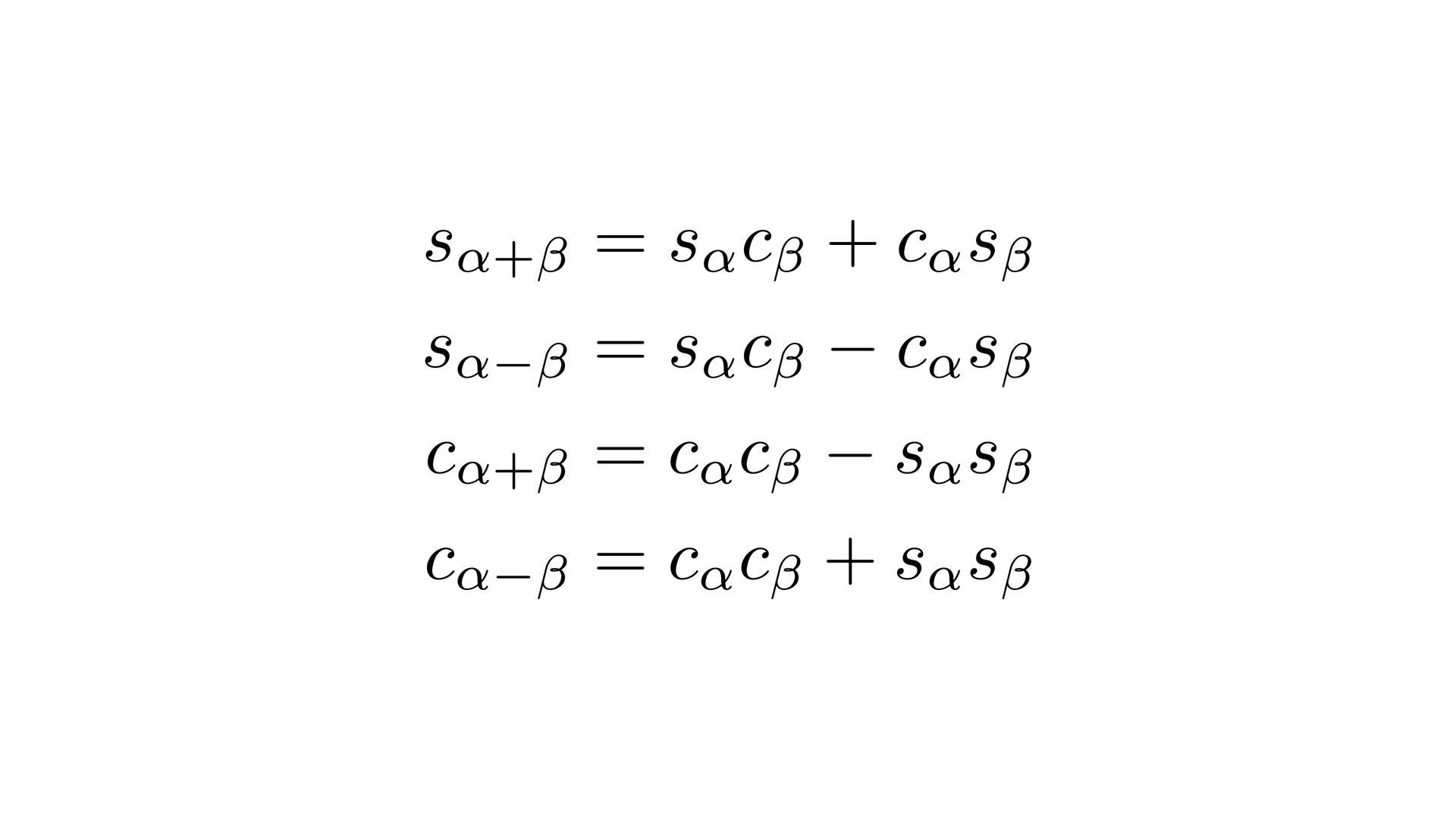
ه๏Λ͢Δ
None
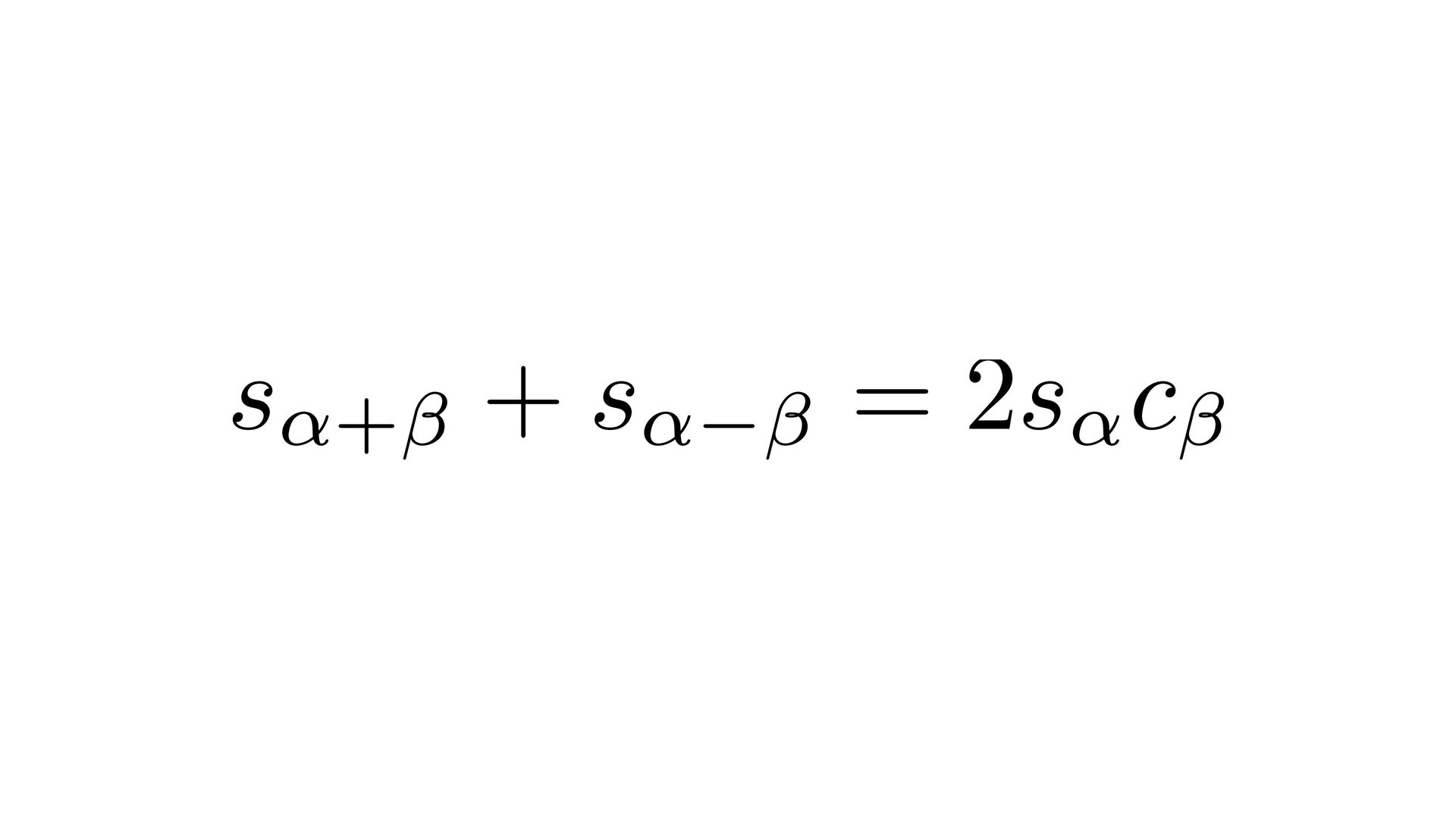
͜ͷه๏Λ͏ͱɺ Ճ๏ఆཧ͜͏ͳΔ 1
None
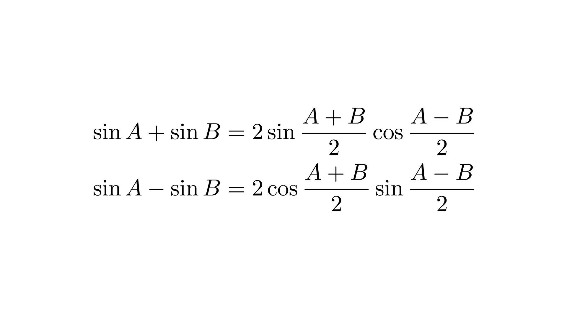
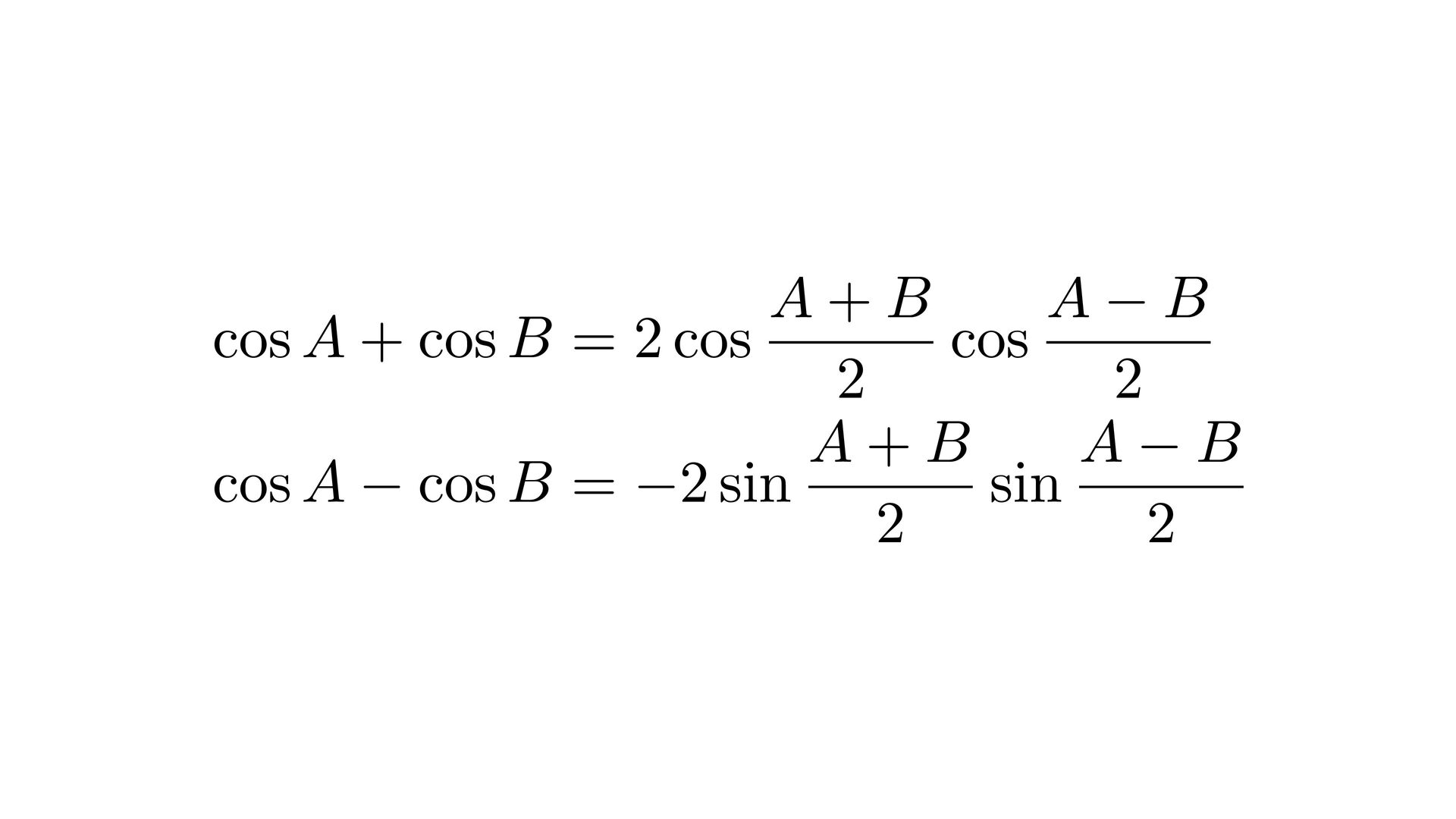
ลʑΛ͢ͱ…
None
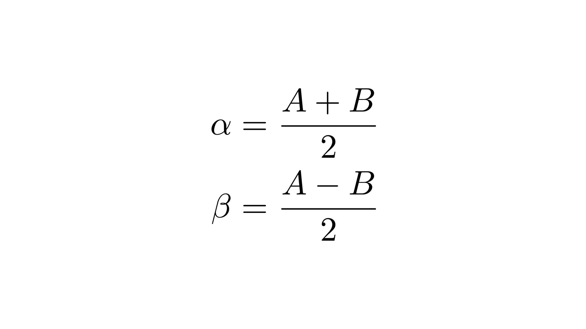
͜͜ͰɺA, B Λ ࣍ͷΑ͏ʹఆٛ
None
͢Δͱɺα, β ࣍ͷΑ͏ʹදͤΔ
None
͜ΕΛͬͯ ࣍ͷࣜΛॻ͖͢
None
A = α + β B = α - β
α = (A + B) / 2 β = (A - B) / 2
͜Ε͕ূ໌Ͱ͖ͨ
Γͷ 3 ͭ ಉ༷ʹͯ͠ಋ͚Δ
🎉
End … ?
֮͑Δ͚ͩਏ͍😭
ߟ͑Δͷָ͍͠🥳
ڝϓϩ ⏱ ݴޠॲཧܥ ⚙
डݧֶ ⏱ ֶͷΈ ⚙
डݧֶ ⏱ ެཧओٛ ⚙
डݧֶ ⏱ ެཧओٛ ⚙ 👉
ڝϓϩ ⏱ ݴޠॲཧܥ ⚙ 👉
None
Thank you for listening!