Upgrade to Pro
— share decks privately, control downloads, hide ads and more …
Speaker Deck
Features
Speaker Deck
PRO
Sign in
Sign up for free
Search
Search
HajimetenoLT vol.17
Search
hashimoto-kei
November 22, 2025
Science
220
1
Share
HajimetenoLT vol.17
⚡️初めてのLT会 Vol.17 に登壇した際の資料です。
https://bootcamp.fjord.jp/events/187
hashimoto-kei
November 22, 2025
More Decks by hashimoto-kei
See All by hashimoto-kei
AkarengaLT vol.43
hashimoto_kei
0
75
Offline Meetup | Fukuoka Rubyist Kaigi 05 Day0
hashimoto_kei
0
85
AkarengaLT vol.41
hashimoto_kei
1
130
AkarengaLT vol.40
hashimoto_kei
0
92
AkarengaLT vol.38
hashimoto_kei
1
260
AkarengaLT vol.37
hashimoto_kei
0
120
AkarengaLT vol.36
hashimoto_kei
0
110
AkarengaLT vol.35
hashimoto_kei
0
210
Boast Code Party | RubyKaigi 2025 After Event
hashimoto_kei
2
380
Other Decks in Science
See All in Science
シャボン玉の虹から原子も地震も重力も見える! 〜 物理の目「干渉縞」のすごい力 〜
syotasasaki593876
1
120
機械学習 - pandas入門
trycycle
PRO
0
560
大黒市で発生した大規模インシデント の ポストモーテムから読み解く、 記憶媒体消去の大切さ
shucho0103
0
130
Accelerating operator Sinkhorn iteration with overrelaxation
tasusu
0
300
因果推論と機械学習
sshimizu2006
1
1.1k
Physical AIを支えるWeights & Biases
olachinkei
1
300
People who frequently use ChatGPT for writing tasks are accurate and robust detectors of AI-generated text
rudorudo11
0
220
ハミルトン・ヤコビ方程式の解の性質と物理的意味
enakai00
0
290
YouTubeにおける撤回論文の参照実態 / metascience-meetup2026
corgies
3
250
Cross-Media Technologies, Information Science and Human-Information Interaction
signer
PRO
3
32k
先端因果推論特別研究チームの研究構想と 人間とAIが協働する自律因果探索の展望
sshimizu2006
3
880
凸最適化からDC最適化まで
santana_hammer
1
390
Featured
See All Featured
"I'm Feeling Lucky" - Building Great Search Experiences for Today's Users (#IAC19)
danielanewman
231
23k
Building Applications with DynamoDB
mza
96
7k
Imperfection Machines: The Place of Print at Facebook
scottboms
270
14k
The Language of Interfaces
destraynor
162
26k
How to Talk to Developers About Accessibility
jct
2
180
sira's awesome portfolio website redesign presentation
elsirapls
0
220
My Coaching Mixtape
mlcsv
0
110
Bioeconomy Workshop: Dr. Julius Ecuru, Opportunities for a Bioeconomy in West Africa
akademiya2063
PRO
1
99
Chrome DevTools: State of the Union 2024 - Debugging React & Beyond
addyosmani
10
1.1k
A designer walks into a library…
pauljervisheath
211
24k
Templates, Plugins, & Blocks: Oh My! Creating the theme that thinks of everything
marktimemedia
31
2.8k
Practical Orchestrator
shlominoach
191
11k
Transcript
2025/11/22 hashimoto-kei ॳΊͯͷ LT ձ Vol. 17
ࣗݾհ
໊લɿhashimoto-kei
None
ग़ɿԬ
झຯɿαφ, Podcast
͖ͳຊɿNand2Tetris
None
ࠓͷςʔϚ
Λ࣋ͬͯΔ͜ͱ
🔥
͘͠Έ.math
None
None
ָ͠Έํ
ϓϩάϥϛϯά
ڝϓϩ ⏱
ݴޠॲཧ ⚙
ֶ
डݧֶ ⏱
ֶͷΈ ⚙
ڝϓϩ ⏱ ݴޠॲཧ ⚙
डݧֶ ⏱ ֶͷΈ ⚙
डݧֶ ⏱ ެཧओٛ ⚙
डݧֶ ⏱ ެཧओٛ ⚙ 👉
༡ΜͰΈΔ
🥳
ಉҰࢹ
None
🤔
2 ͭཁΔʁ
1 ͭͰेʂ
None
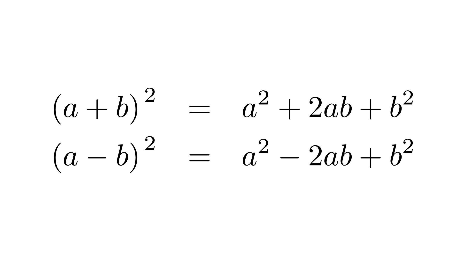
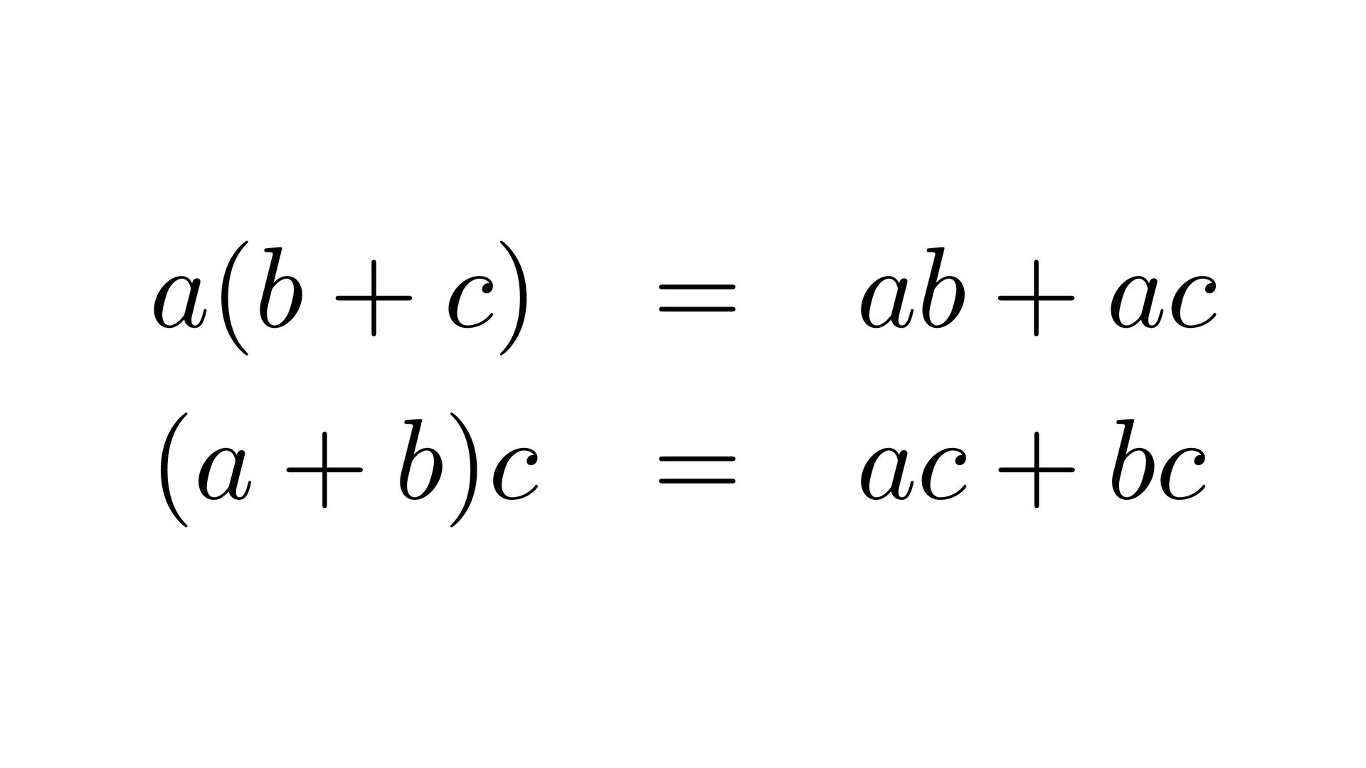
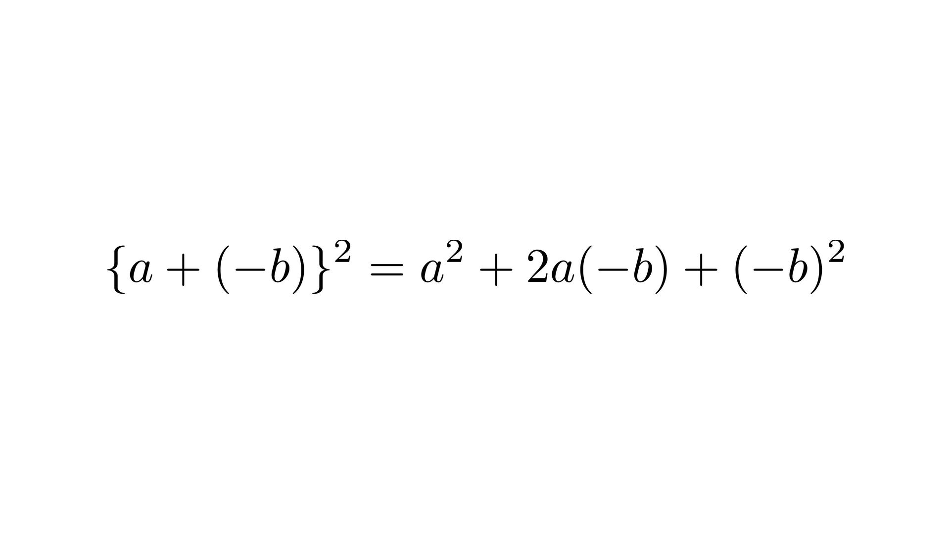
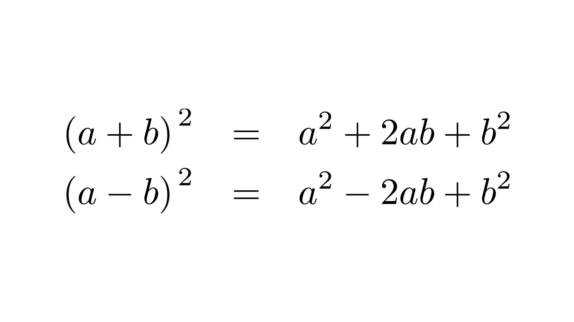
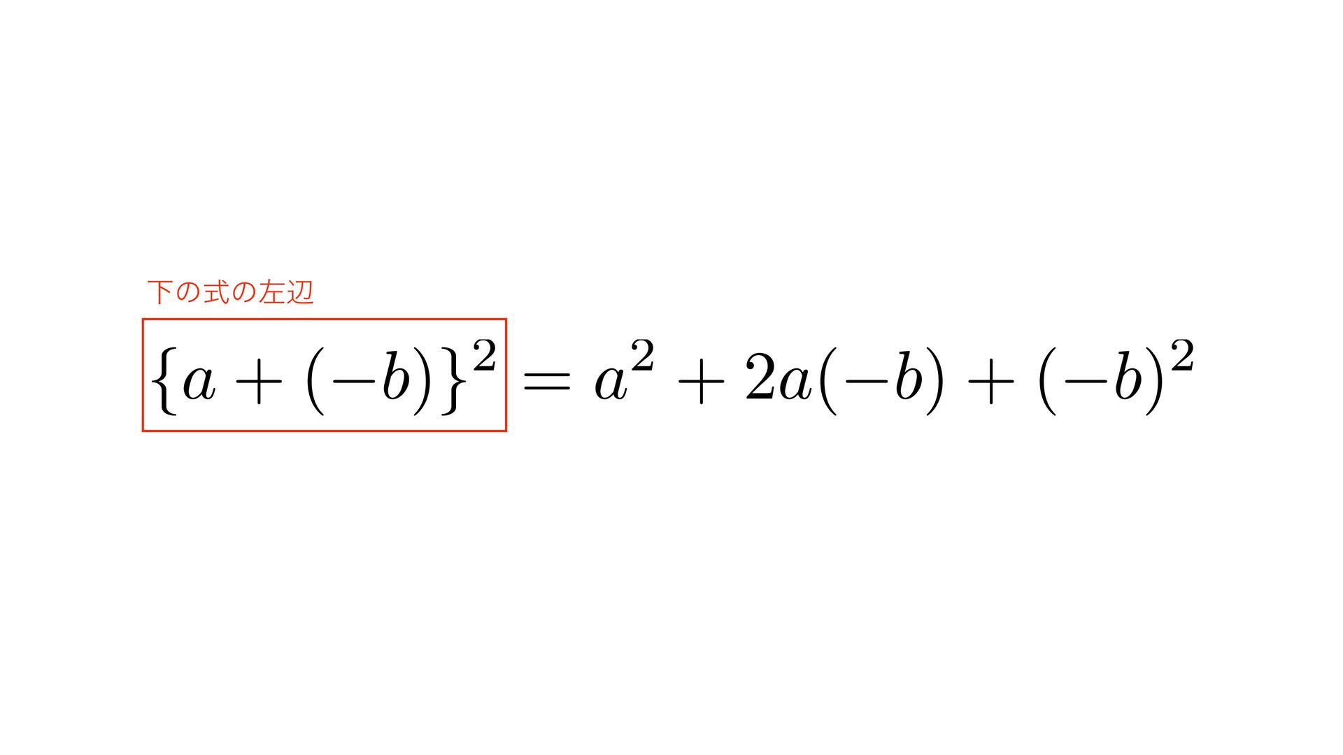
্ূ໌ࡁΈͱ͢Δ
্͔ΒԼΛಋ͘
None
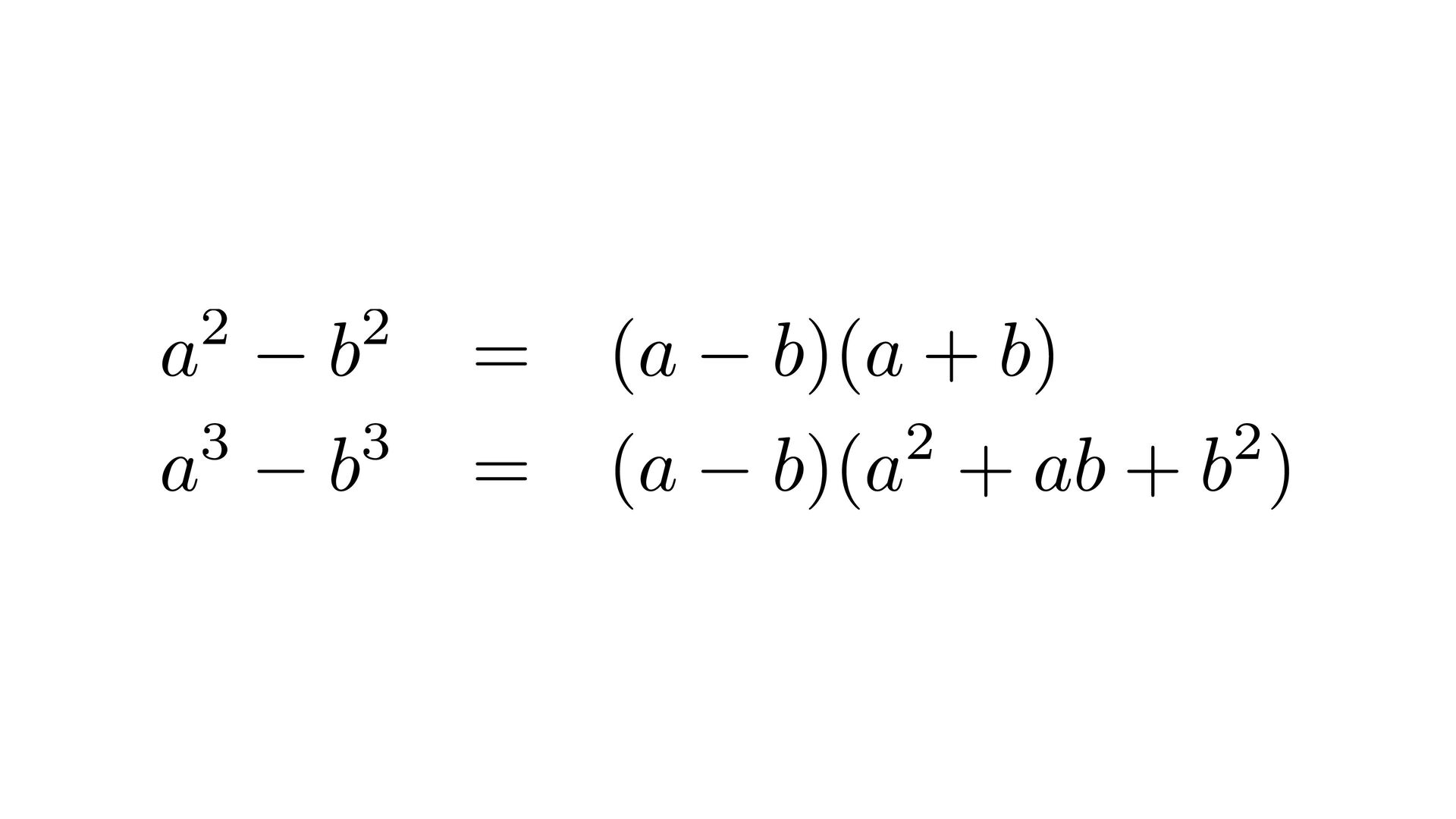
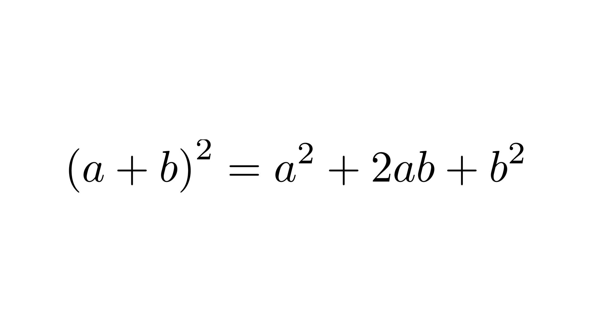
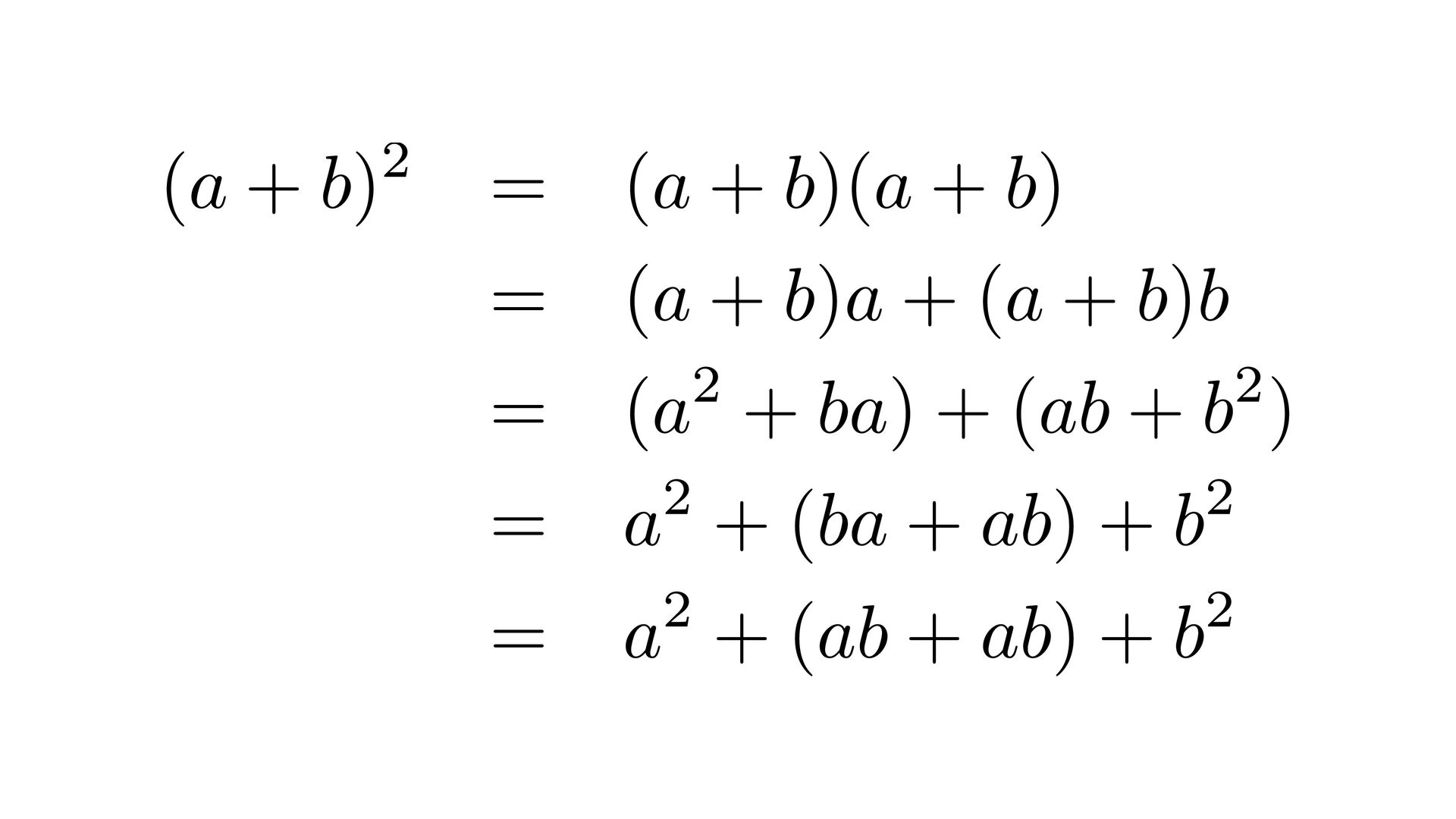
Լͷࣜͷࠨล
্ͷࣜΛͬͯల։
ܭࢉ͢ΔͱɺԼͷࣜͷӈลʹͳΔ
🎉
ެཧओٛ
None
🤔
͜ΕͲ͔͜Β ग़͖ͯͨͷʁ
ެཧ
ެཧͱʁ
ྫ͑
ྗֶͷݪཧ
⚙
׳ੑͷ๏ଇ
ӡಈํఔࣜ
࡞༻ɾ࡞༻ͷ๏ଇ
3 ͚ͭͩ
͜ͷ 3 ͭΛͬͯ ྗֶͷཧΛ࡞Δ
ྫ͑
ΤωϧΪʔอଘଇ
ӡಈྔอଘଇ
͜ͷ 2 ͭ ྗֶͷݪཧ͔Βಋ͔ΕΔ
1. ׳ੑͷ๏ଇ 2. ӡಈํఔࣜ 3. ࡞༻ɾ࡞༻ͷ๏ଇ 4. ΤωϧΪʔอଘଇ 5. ӡಈྔอଘଇ
6. etc…
1. ׳ੑͷ๏ଇ 2. ӡಈํఔࣜ 3. ࡞༻ɾ࡞༻ͷ๏ଇ 4. ΤωϧΪʔอଘଇ 5. ӡಈྔอଘଇ
6. etc… ݪཧ 3 ͚ͭͩ
⚙
ߴߍֶʹ ͍͔ͭ͘ެཧ͕ଘࡏ͢Δ
ྫ͑
݁߹๏ଇ ʢ࣮ͷʹؔ͢Δʣ
None
Ͳ͔͜Βͯ͠ OK
͠ࢉͷ 23 + 1 + 9999
͠ࢉͷ 23 + 1 + 9999 ͔ͬͪ͜Βઌʹܭࢉͯ͠ OK
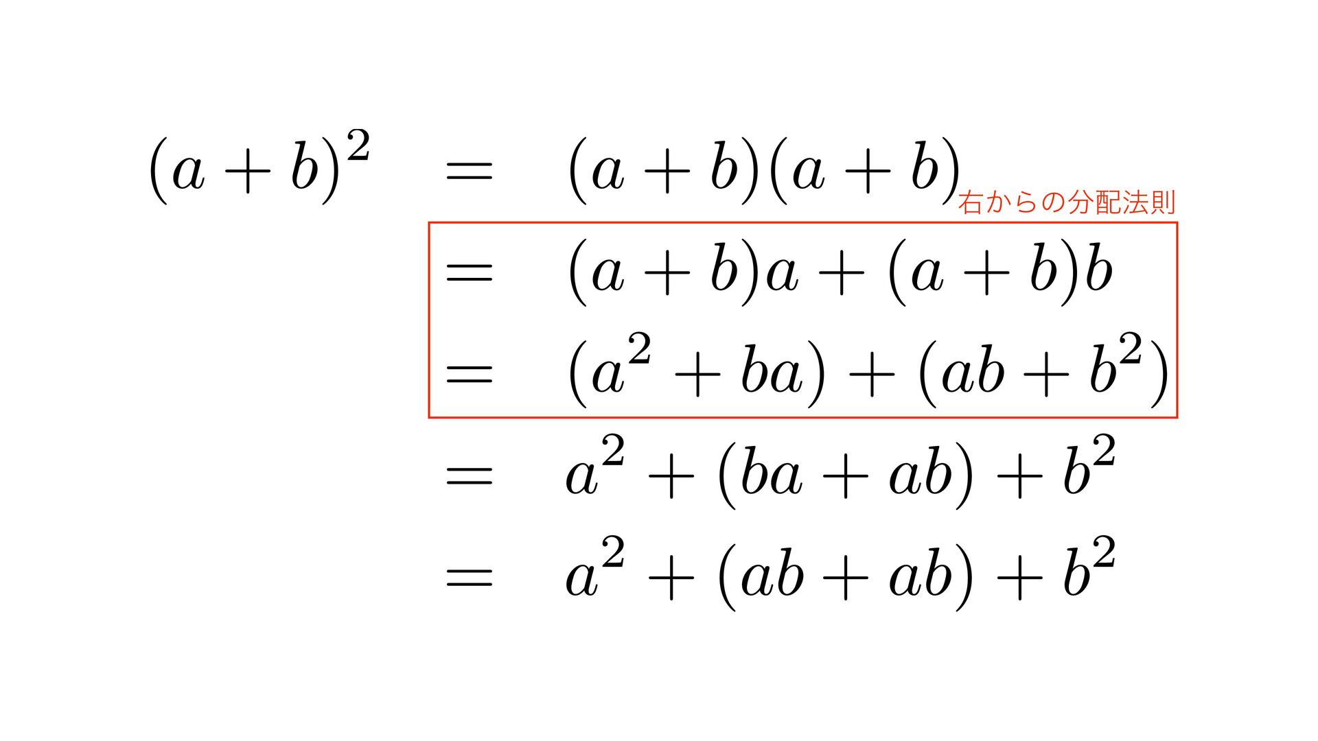
ަ๏ଇ ʢ࣮ͷੵʹؔ͢Δʣ
None
ֻ͚ࢉೖΕସ͑ͯ OK
ֻ͚ࢉͷ 4 * 5 = 5 *4 = 20
ֻ͚ࢉͷ 4 * 5 = 5 *4 = 20 ೖΕସ͑ͯಉ͑͡
࣮ͷ๏ଇ
None
ࠨ͔Βͷ๏ଇ
ӈ͔Βͷ๏ଇ
1. ݁߹๏ଇʢ࣮ͷʣ 2. ަ๏ଇʢ࣮ͷੵʣ 3. ๏ଇʢࠨ/ӈ͔Βͷʣ
͜ͷ 3 ͭͷެཧΛͬͯ ઌ΄ͲͷࣜΛূ໌͢Δ
None
None
2 ͷఆٛ
ࠨ͔Βͷ๏ଇ
ӈ͔Βͷ๏ଇ
ʹؔ͢Δ݁߹๏ଇ
ੵʹؔ͢Δަ๏ଇ
None
🎉
نଇੑ
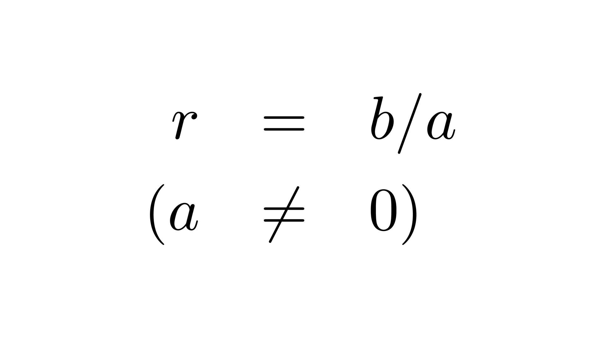
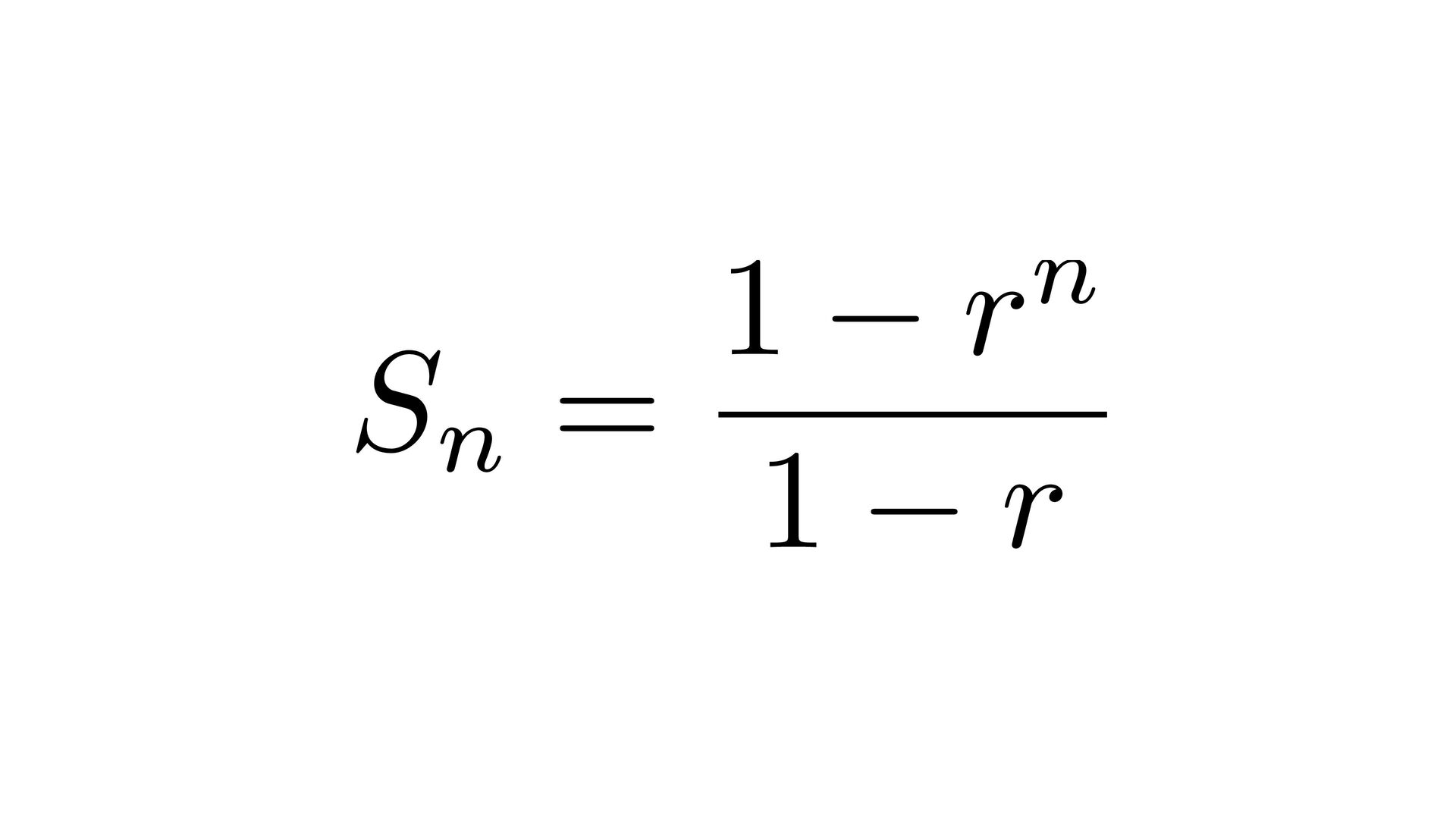
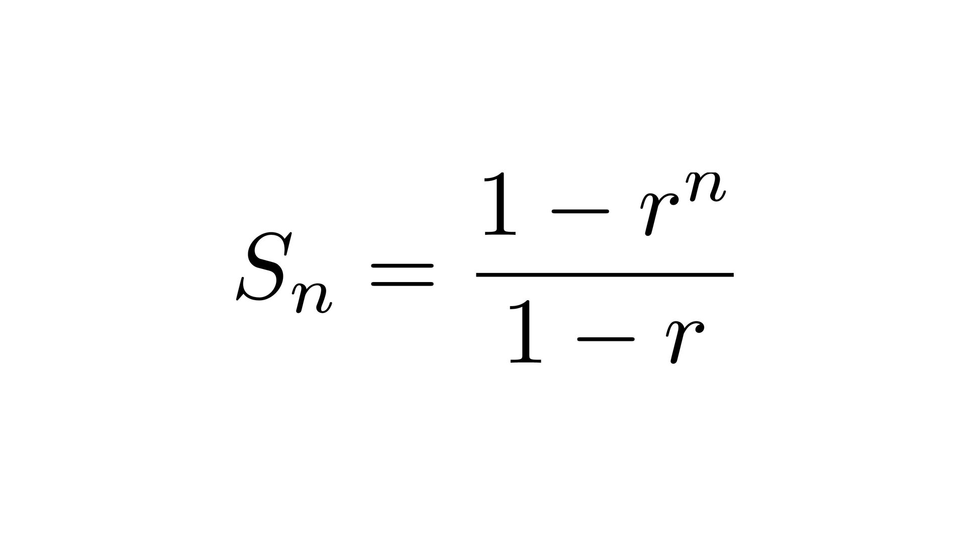
ൺྻͷ
None
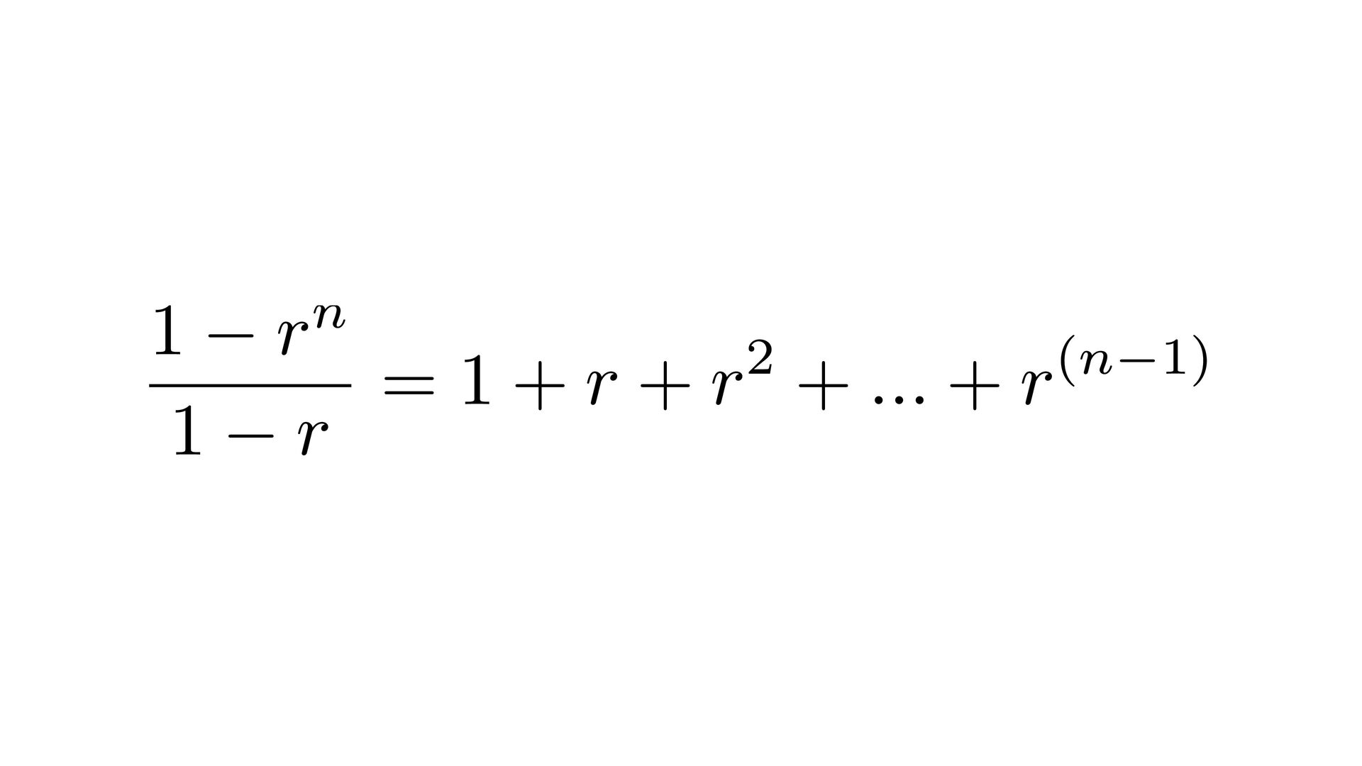
ެࣜ
None
ؙ҉ه...?
😭
☝
☝
☝
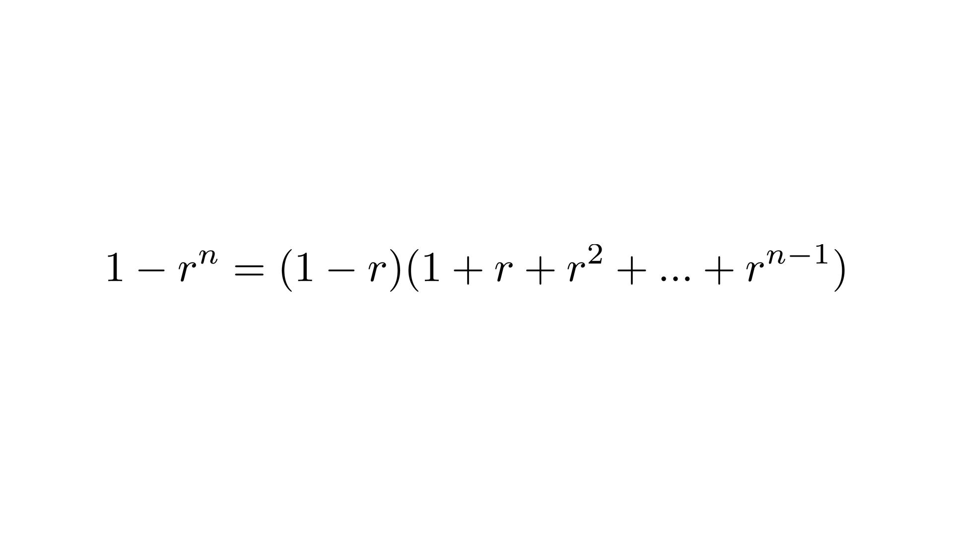
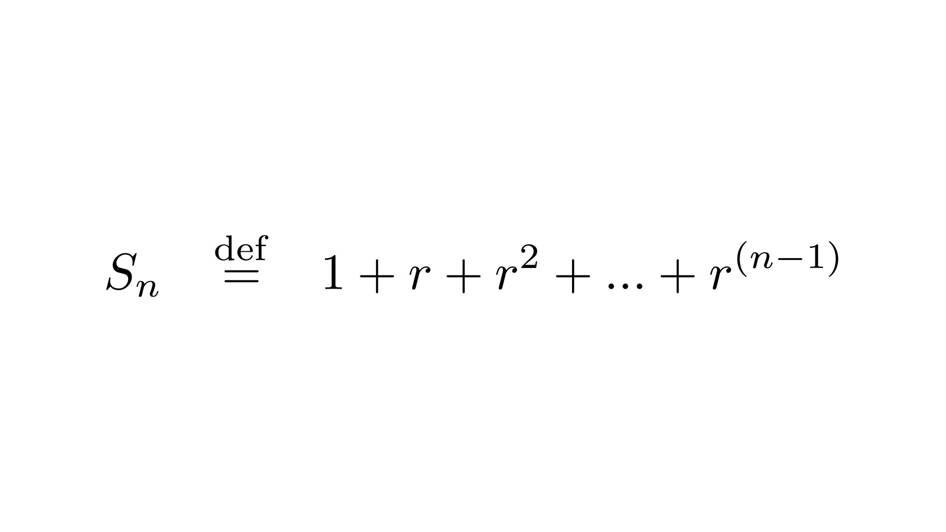
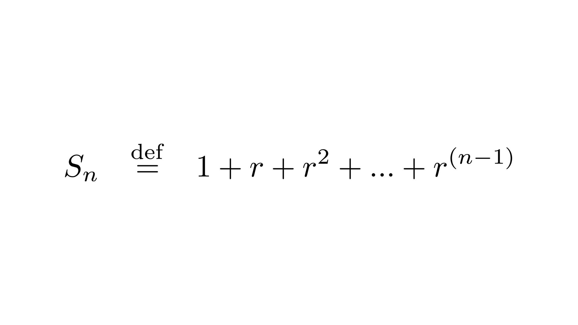
ఆٛࣜͰे
ఆٛࣜͷ྆ลΛ r ഒͨ͠ͷΛλςʹฒΔ
None
1 ͭӈʹζϥͯ͠ॻ͘ͷ͕ϙΠϯτʂ
ลʑΛҾ͘ͱ…
͕͜͜ফ͑Δʂ
None
݅ΛՃ
None
྆ลΛ 1 -r ͰׂΔͱ…
None
🎉
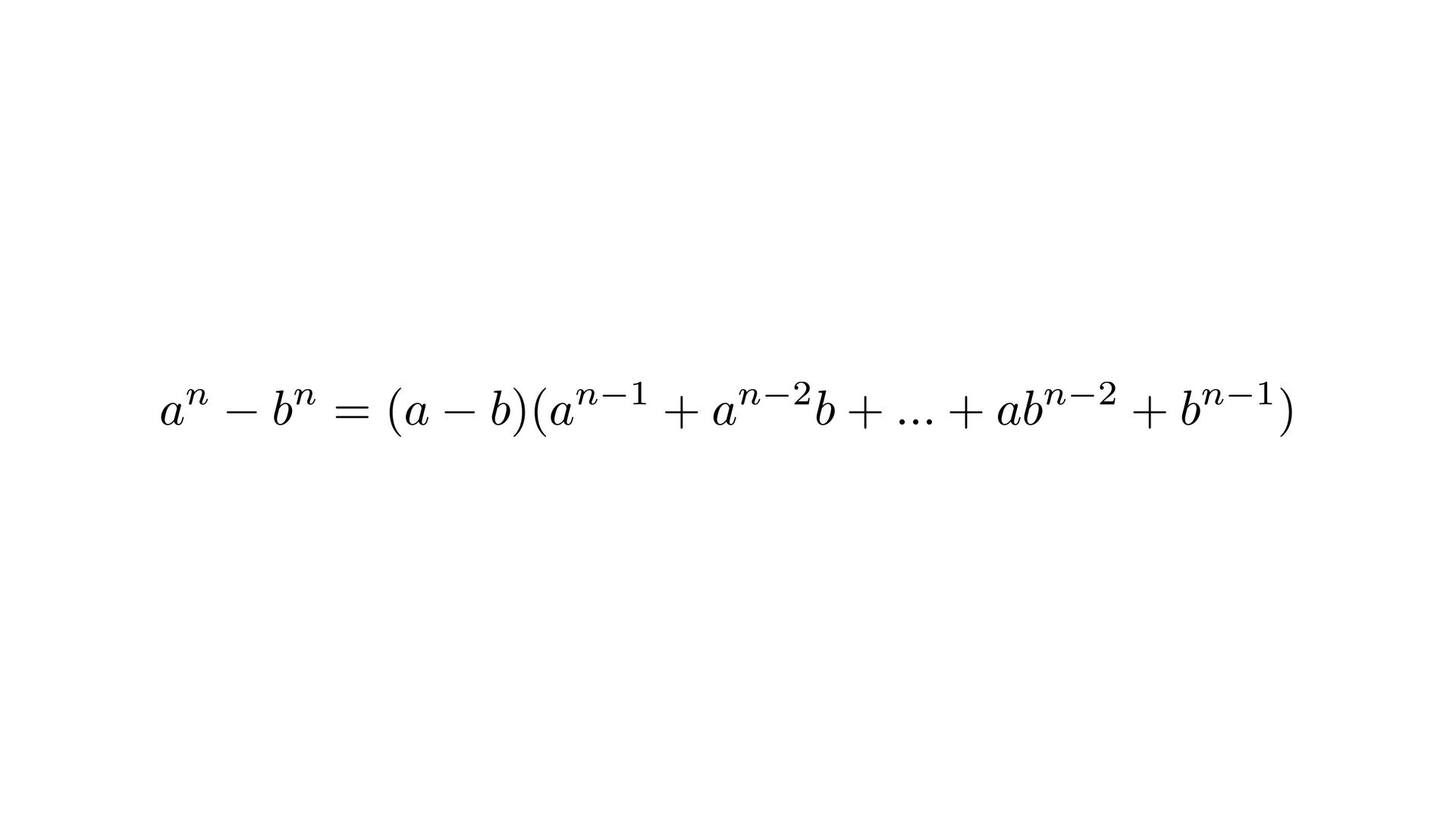
ҰൠԽ
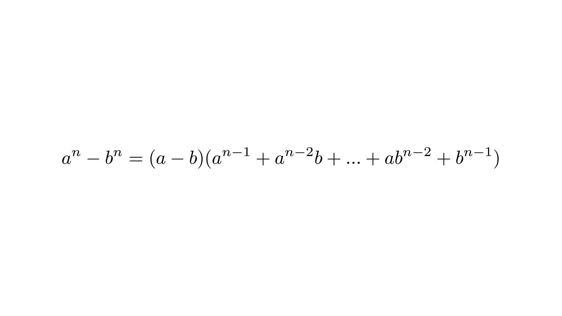
Ҽղͷެࣜ
None
ؙ҉ه...?
😭
☝
☝
☝
ҰൠԽͰ͖Δ
None
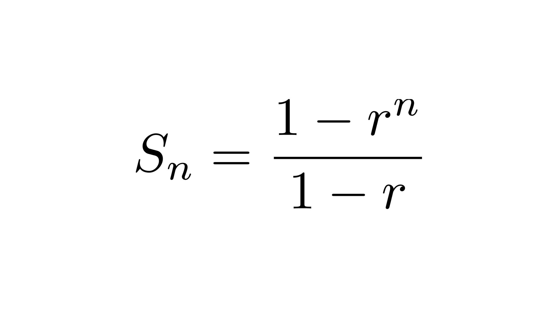
ઌ΄ͲͷެࣜΛ ͬͯূ໌ͯ͠ΈΔ
࠶ܝ
None
None
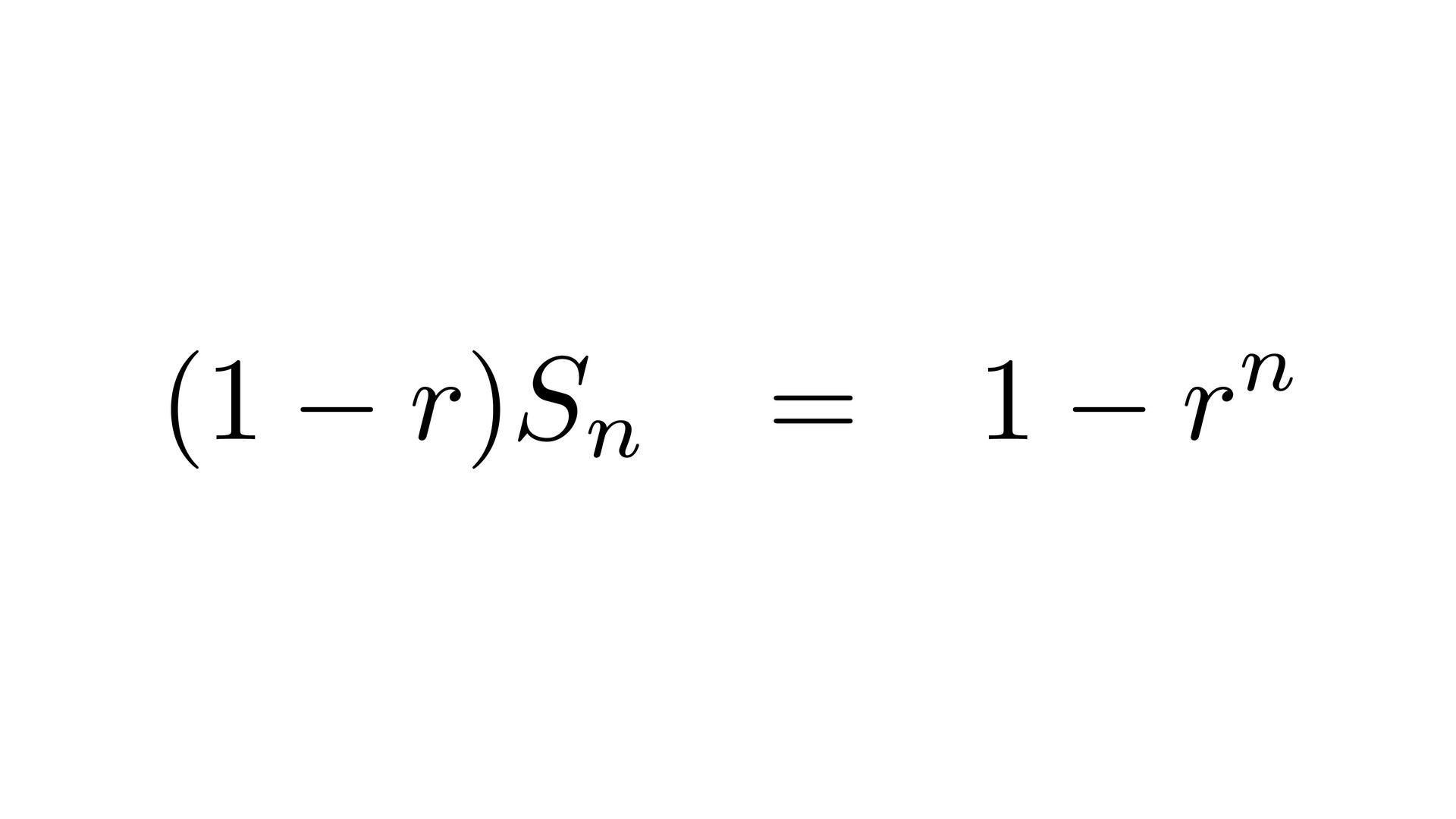
͜ͷͱ͖ɺ ࣍ͷެ͕ࣜΓཱͭ
None
ఆٛࣜͱެ͔ࣜΒ ͕࣍Γཱͭ
None
྆ลʹ 1 - r Λֻ͚Δͱ…
None
r = 1 ͷͱ͖ Γཱͭ͜ͱʹҙʂ
͜͜Ͱ
None
Λೖͯ͠
྆ลʹ a^n Λֻ͚Δͱ…
None
a = 0 ͷͱ͖ Γཱͭ͜ͱʹҙʂ
🎉
ࢹ֮Խ
ճసߦྻ
None
ؙ҉ه...?
😭
☝
☝
☝
ਤͰे 1
(1, 0) ͱ (0, 1) Λ θ ͚ͩճస 1
1 1
ࡾ֯ؔͷఆ͔ٛΒ ͕࣍Γཱͭ 1
None
·ͱΊͯॻ͘ͱ
None
Α͘ݟΔͱ୯Ґߦྻʹͳ͍ͬͯΔ
🎉
ࢹ֮Խ
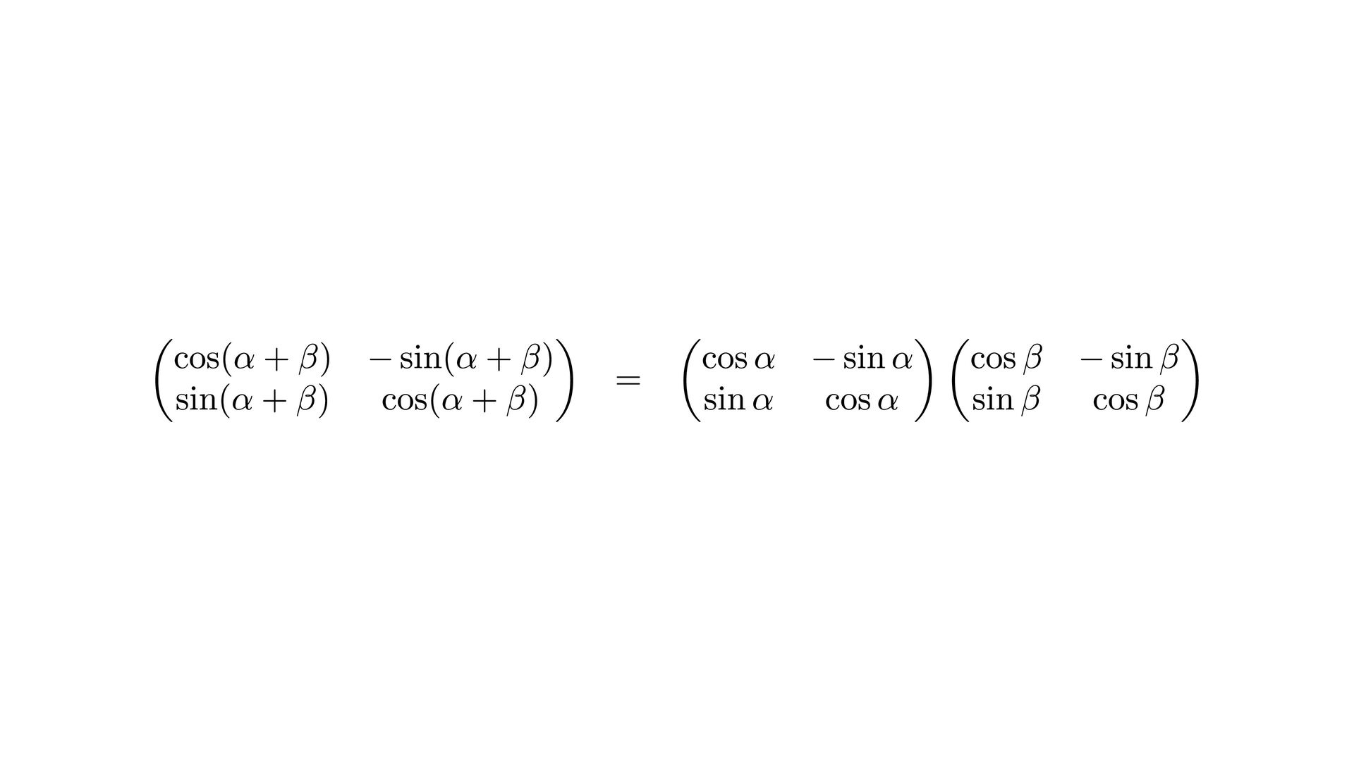
ࡾ֯ؔͷՃ๏ఆཧ
None
ؙ҉ه...?
😭
☝
☝
☝
ਤͰे
1 1
ճసߦྻʹ͍ͭͯ ࣍ͷ͕ࣜΓཱͭ
None
β ͚ͩճసͤͯ͞ɺ͞Βʹ α ͚ͩճస Ұؾʹ α + β ͚ͩճస
࠶ܝ
None
͜ΕΛ͏ͱɺ ࣍ͷ͕ࣜΓཱͭ
None
͜͜Λܭࢉ͢Εɺsin(α + β) = sin α cos β + cos
α sin β ͕ಘΒΕΔ
͜͜Λܭࢉ͢Εɺcos(α + β) = cos α cos β - sin
α sin β ͕ಘΒΕΔ
🎉
End … ?
͍ΖΜͳָ͠Έํ
֮͑Δ͚ͩਏ͍😭
ߟ͑Δͷָ͍͠🥳
͘͠Έ.math
͓ʔ͍ɺүɺ ֶΖ͏ͥʂ⚾
⚙ ⚾
Thank you for listening!